Dòng điện 3 pha là hệ thống điện phổ biến nhất trong công nghiệp hiện nay, được dùng để cấp nguồn cho các thiết bị có công suất lớn như motor, máy bơm công nghiệp, máy nén khí, quạt công nghiệp, dây chuyền sản xuất…
So với điện 1 pha (chỉ có 2 dây – dây pha và trung tính), điện 3 pha có 3 dây pha (A, B, C) và 1 dây trung tính (N), giúp truyền tải điện năng ổn định, cân bằng và tiết kiệm hơn.

Mục lục
Công thức tính dòng điện 3 pha
Tùy vào cách đấu dây (hình sao hoặc tam giác), công thức tính dòng điện 3 pha sẽ khác nhau.
🔹 Trường hợp 1: Hệ thống 3 pha đấu hình sao (Y)

Trong đó:
- I: Cường độ dòng điện (A – ampe)
- P: Công suất tiêu thụ (W – watt)
- U: Điện áp dây (V – volt), thường là 380V
- cos: Hệ số công suất, thường dao động từ 0.8 – 0.95
👉 Ví dụ:
Một motor 3 pha công suất 5,5 kW, điện áp 380V, hệ số cosφ = 0.85

➡️ Như vậy, dòng điện chạy qua mỗi pha của motor khoảng 9,8 ampe.
Trường hợp 2: Hệ thống 3 pha đấu hình tam giác (Δ)

Giải thích:
- Ở đấu tam giác, điện áp pha bằng điện áp dây, nên công thức không có √3 như hình sao.
- Dòng điện dây sẽ lớn hơn dòng điện pha √3 lần.
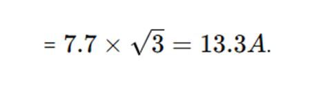
👉 Ví dụ:
Motor 3 pha 7,5kW, đấu tam giác, điện áp 380V, cosφ = 0.85

➡️ Khi đó, dòng điện dây bằng

Cách quy đổi và tính nhanh dòng điện 3 pha theo công suất
Để tính nhanh mà không cần dùng máy tính, bạn có thể áp dụng các công thức gần đúng sau:
| Công suất (kW) | Dòng điện 3 pha 380V (A) | 
| 1.5 kW | ≈ 3 A | 
| 3 kW | ≈ 6 A | 
| 5.5 kW | ≈ 10 A | 
| 7.5 kW | ≈ 14 A | 
| 11 kW | ≈ 20 A | 
| 15 kW | ≈ 27 A | 
| 22 kW | ≈ 40 A | 
| 30 kW | ≈ 55 A | 
💡 Lưu ý: Các giá trị trên chỉ mang tính tham khảo, phụ thuộc vào hiệu suất motor và cosφ thực tế.

Motor Điện 3 Pha sẵn hàng tại VIMEX
Các yếu tố ảnh hưởng đến dòng điện 3 pha
Khi tính toán hoặc lựa chọn aptomat, dây dẫn, contactor, bạn cần hiểu rằng dòng điện 3 pha không chỉ phụ thuộc vào công suất mà còn bị ảnh hưởng bởi:
- Điện áp vận hành thực tế: Nếu điện áp giảm, dòng điện tăng lên.
- Hệ số công suất (cosφ): Cosφ càng nhỏ → dòng điện càng lớn → tốn điện hơn.
- Hiệu suất motor: Motor hiệu suất thấp → dòng khởi động cao → dễ nóng và gây quá tải.
- Kiểu đấu dây (Y hoặc Δ): Ảnh hưởng trực tiếp đến dòng điện dây và dòng pha.
Cách đấu dây motor 3 pha 380V: Hướng dẫn chi tiết và dễ hiểu
Ứng dụng công thức tính dòng điện 3 pha trong thực tế
Công thức này được sử dụng rộng rãi trong các ngành cơ điện, điện công nghiệp, chế tạo máy, hệ thống bơm hóa chất…, giúp:
- Tính toán tiết diện dây dẫn phù hợp
- Lựa chọn aptomat, contactor, rơ le bảo vệ quá tải đúng công suất
- Thiết kế tủ điện, mạch điều khiển motor, bơm công nghiệp
- Đảm bảo an toàn điện và tránh tình trạng cháy nổ, sụt áp
Ví dụ, Công ty TNHH Vimex – nhà cung cấp motor và bơm công nghiệp chính hãng – luôn tính toán kỹ dòng điện 3 pha cho từng model bơm để đảm bảo thiết bị vận hành ổn định, tiết kiệm điện và an toàn tối đa.
Lưu ý quan trọng khi áp dụng cho máy bơm công nghiệp
- Xác định đúng P (phải rõ là P điện hay P trục): Sai lầm phổ biến dẫn đến chọn thiết bị bảo vệ, dây dẫn không chính xác.
- Tính hệ số công suất và hiệu suất thực tế (nameplate) – nếu không có, dùng cosφ ≈ 0.85 và η ≈ 0.85–0.90 làm tham chiếu.
- Dùng dự phòng cho dòng khởi động: bơm thường có mô men khởi động lớn → cần xem phương án khởi động (DOL / star-delta / soft starter / VFD) để giảm dòng xung.
- Chọn aptomat và rơ-le phù hợp với đặc tính motor (nguồn 3 pha, dòng khởi động, khả năng chịu dòng nhỡ).
- Tính sụt áp trên cáp: với cáp dài, sụt áp có thể làm motor yếu công suất → tăng tiết diện cáp hoặc nâng điện áp.
- Bảo vệ chống mất pha, quá tải, quá nhiệt, và bảo vệ chống rò (RCD) nếu cần.
Hiểu rõ công thức tính dòng điện 3 pha không chỉ giúp kỹ sư, thợ điện hay người vận hành nắm bắt được nguyên lý hoạt động của thiết bị điện mà còn hỗ trợ lựa chọn motor, dây dẫn, cầu dao, aptomat phù hợp, tránh quá tải hoặc sụt áp.
👉 Nếu bạn đang tìm motor 3 pha, máy bơm công nghiệp, hoặc cần tư vấn thiết kế hệ thống điện 3 pha an toàn – tiết kiệm, hãy liên hệ Vimex để được hỗ trợ kỹ thuật chính xác và chuyên nghiệp nhất. Xin cảm ơn!


 
  



